top of page
block background - Lesson1.jpg

9014

Gemeng

Videos might take a minute to load...
Refresh page if it takes longer than a minute.

block background - Lesson1.jpg

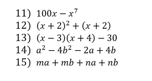
Faktoriseer die volgende uitdrukkings.
Gebruik die videos om te merk en korreksies te doen na elke stel somme.

bottom of page