top of page
block background - Lesson1.jpg

9032

Skets Grafiek: Gradient-afsnit Metode

Videos might take a minute to load...
Refresh page if it takes longer than a minute.

block background - Lesson1.jpg

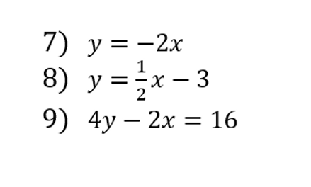
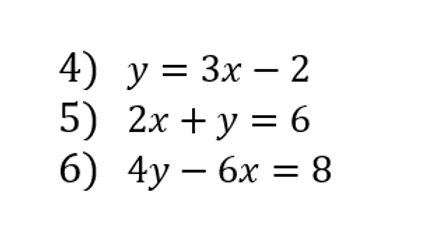
Skets die volgende grafieke met behulp van die gradient-afsnit metode.
Gebruik die videos om te merk en korreksies te doen na elke stel somme.

bottom of page