top of page
block background - Lesson1.jpg

7052

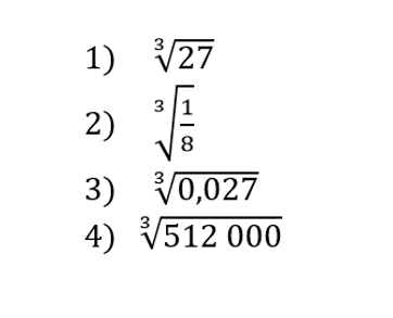
Cube roots

Videos might take a minute to load...
Refresh page if it takes longer than a minute.

block background - Lesson1.jpg

Calculate the following without the use of a calculator.
Use the video to mark after each set.

bottom of page