top of page
block background - Lesson1.jpg

1001

Recap

Videos might take a minute to load...
Refresh page if it takes longer than a minute.

block background - Lesson1.jpg

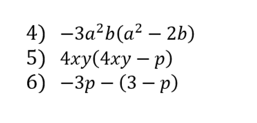
Simplify the following expressions.
Use the video to mark after each set of sums.

bottom of page