top of page
block background - Lesson1.jpg

1003

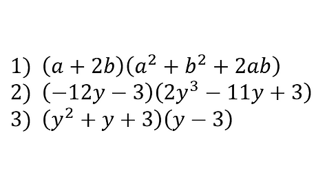
(2 terms)(3 terms)

Videos might take a minute to load...
Refresh page if it takes longer than a minute.

block background - Lesson1.jpg

Simplify the following expressions.
Use the video to mark after each set of sums.

bottom of page