top of page
block background - Lesson1.jpg

2021

Quadratic: Factorise and Solve

Videos might take a minute to load...
Refresh page if it takes longer than a minute.

block background - Lesson1.jpg

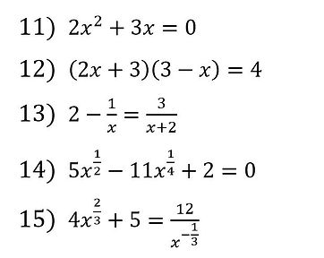
Solve the following equations:
Use the videos to mark your work after each set of sums.

bottom of page